
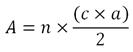
, où « n x c » correspond au périmètre du polygone.
, où P représente le périmètre du polygone. Si on augmente de
plus en plus le nombre de côtés du polygone, son aire se rapproche de celle du disque.
On peut donc affirmer que, dans le cas d'un polygone ayant un très grand nombre de côtés, le périmètre du polygone deviendra la circonférence
du cercle de même rayon, soit le cercle circonscrit, et que l’apothème du polygone deviendra le rayon de ce cercle.
.